Saurav Prateek

Software Engineer | Content Creator

I have a Bachelors degree in Computer Science Engineering (2015-19) and currently working as a Senior Web Solutions Engineer at Google. I have a keen interest in Machine Learning, Artificial Intelligence, Distributed Systems, System Design, Data Structures, Algorithms and Maths.

Saurav Prateek

Experience

Senior Web Solutions Engineer (L5) at Google, India

2025 - Present

Working in the gTech Ads - TAI (Tools Automation and Infrastructure) team as an L5 individual contributor and Leading Headroom tool that enables Video Specialists across LCS and GCS to perform video headroom planning for their book of business using historical data from their advertiser.

Web Solutions Engineer II (L4) at Google, India

2022 - 2025

Working in the gTech-TDA (Tools Development and Automation) team as an L4 individual contributor and leading the development of multiple tools used by the Sales and Business team to automate and find insights in the gTech Ads ecosystem

Web Solutions Engineer I (L3) at Google, India

2021 - 2022

Worked in the gTech-TDA (Tools Development and Automation) team as an L3 Individual Contributor. Authored multiple RPCs to support the data import from the customer’s Google Ads Account. The data involved multiple Campaigns, Ad-Groups and other ads entities. Developed a recursion and back-tracking based solution to support the real-time generation of Product Groups (a google ads-entity) in bulk.

Software Engineer (SDE 1) at GeeksforGeeks

2019 - 2021

Worked on Amazon Dynamo DB built scalable architecture in No SQL design. Explored relational model access patterns and came up with a reasonable no sql design for the same. Learned to read through matrix and designed an architecture which could serve the query in millisecond order of time along with being cost efficient.

Personal Projects

HuggingFace Byte-Pair Encoding tokenizer visualizer library

HuggingFace Byte-Pair Encoding tokenizer visualizer library

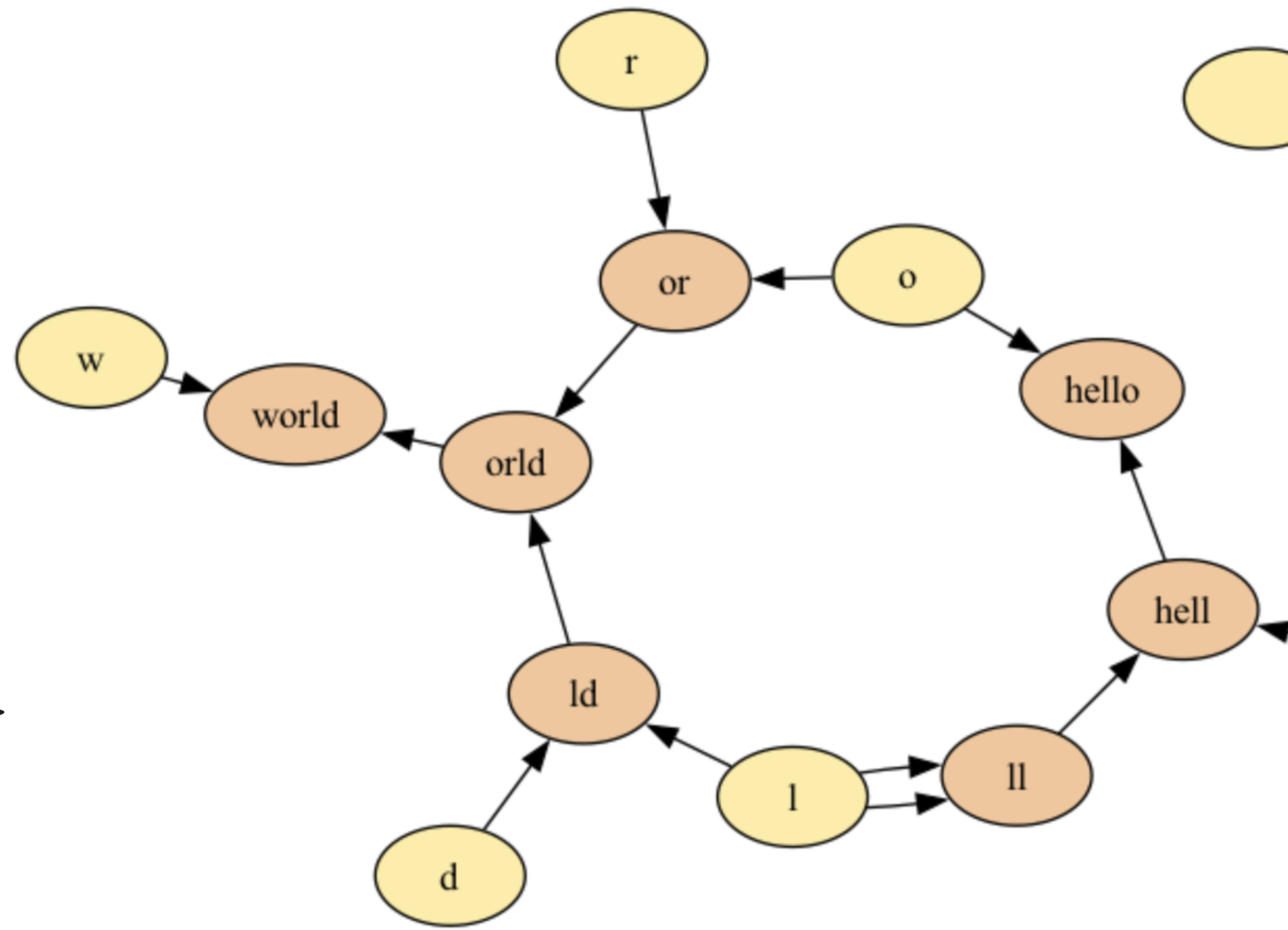
The library can help you visualize how the encoding process happens in the Byte-Pair Encoding tokenizer algorithm. It generates a graph where the nodes are tokens / characters and if a pair of characters are merged, the nodes are connected via directed edges.

Python HuggingFace Tokenization Transformers
Reproducing TinyStories small language models (SLM)

Reproducing TinyStories small language models (SLM)

This repository contains a reproduction of the TinyStories language models described in the paper "TinyStories: How Small Can Language Models Be and Still Speak Coherent English?" by Ronen Eldan and Yuanzhi Li.

Python Jupyter Notebook Deep Neural Networks
Toy-Transformer (decoder-only)

Toy-Transformer (decoder-only)

A toy Transformer model (0.21M parameters)implementation from scratch! If you have a block of text on which you want to train a transformer model and let the model generate text afterwards, then you can use this repo to achieve all of it on your local machine without a GPU.

Python Deep Neural Networks
Deep Researcher: Sequential Plan Reflection and Candidates Crossover

Deep Researcher: Reflect Evolve

Deep Researcher is an advanced autonomous agent architecture designed to generate detailed, PhD-level research reports on complex topics. This system utilizes Sequential Research Plan Refinement and Candidates Crossover.

Python LangChain Google GenAI Deep Research
Deep Researcher: Sequential Plan Reflection and Candidates Crossover

LangPost - AI Agent that creates a Linkedin Post

LangPost is an AI agent that creates a Linkedin post from a Linkedin newsletter article or any other blog post. It utilizes the concept of Few Shot encoding.

TypeScript LangChain LangGraph AI Engineering
Static Deep Research Agent

Static Deep Research Agent (Static-DRA)

A configurable and hierarchical tree-based static Deep Research Agent designed to overcome the limitations of standard RAG pipelines for complex, multi-turn research tasks by utilizing a static workflow governed by two user-tunable parameters: Depth and Breadth.

Python LangChain Deep Research AI Engineering

Featured Talks

Talk Thumbnail

Design Patterns and Data Modeling in MongoDB

Talk Thumbnail

Optimizing Your Agentic Workflows with Parallel Execution

Talk Thumbnail

Presenting our work on 'AI Powered Request Workflows'

Talk Thumbnail

Building and Deploying your Graph database using Neo4j

Talk Thumbnail

Databases and related optimizations

Talk Thumbnail

Introduction to TensorFlow.js

Popular Uploads

Awards & Achievements

HAG

Won Silver Medal in Google's Hack-a-gTech hackathon

2024

Google | gTech

Our team stood second in an internal org-wide hackathon at Google. Our solution titled "AI Powered Request workflows".

View Award
promo

Promoted to L5 Individual Contributor

2024

Google | gTech

Promoted to an L5 Individual Contributor WSE in Google's gTech TAI (Tools Automation and Infrastructure) org in a span of 2.5 years.

ACM ICPC

ACM ICPC

2017

ICPC (International Collegiate Programming Contest) - Hindustan University, Chennai

Secured 79th Place nationwide in the ACM ICPC 2017 Regional contest.

View Award

Publications

Systems That Scale (Newsletter)

Subscribe →

Word Embeddings - How a Neural Net understands words and their relationships in a multi-dimensional space

Jun 23, 2025 5 mins read

Building a Document Grader in LangGraph | Prompt Templates and Conditional Edges in LangChain

Sep 1, 2024 6 min read

Graph Database - Trying out Neo4J

Mar 04, 2024 4 min read
Featured Landscape

Skills & Technologies

Python Java Machine Learning Artificial Intelligence Deep Neural Networks Async Programming Protobuf gRPC SQL MongoDB Docker Git/GitHub GraphQL